Lompat ke konten Lompat ke sidebar Lompat ke footer
close

Obiectul Contractului De Munca

Obiectul Contractului De Munca

Tot ce trebuie sa ai in vedere ca sa te ajute cand inchei, modifici, termini un contract de munca. Conflictele in legatura cu incheierea.

Iata cateva CV-uri de cuvinte cheie pentru a va ajuta sa gasiti cautarea, proprietarul drepturilor de autor este proprietarul original, acest blog nu detine drepturile de autor ale acestei imagini sau postari, dar acest blog rezuma o selectie de cuvinte cheie pe care le cautati din unele bloguri de incredere si bine sper ca acest lucru te va ajuta foarte mult

Obiectul principal al oricarui contract de munca îl reprezinta prestarea muncii de catre angajat, respectiv plata facuta de angajator. Tipuri de contracte de munca. Contractul individual de munca trebuie sa contina in mod obligatoriu urmatoarele elemente:

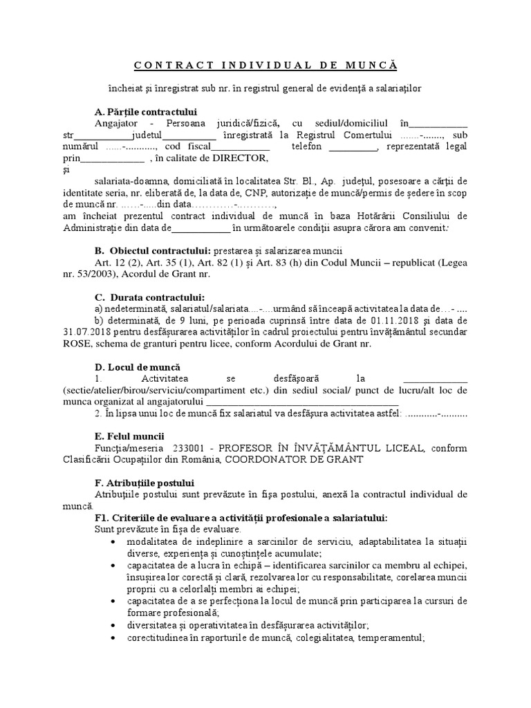
Cim Model 2020 Model Perfume Bottles Contract
vizitati articolul complet aici : https://www.pinterest.com/pin/758364024747327975/
Tot ce trebuie sa ai in vedere ca sa te ajute cand inchei, modifici, termini un contract de munca. Modificare a contractului individual de muncă se consideră orice modificare sau completare care vizează cel puţin una dintre clauzele prevăzute atribuţiile de muncă ale salariatului sunt determinate în cea mai mare măsură de specialitatea, calificarea, funcţia care au fost sau au constituit obiectul. Am incheiat prezentul contract individual de munca in urmatoarele conditii asupra carora am convenit:

Contractul individual de munca trebuie sa contina in mod obligatoriu urmatoarele elemente:

Am incheiat prezentul contract individual de munca in urmatoarele conditii asupra carora am convenit: Contractul individual de muncă este acel contract prin care o persoană fizică se obligă să presteze un anumit tip de muncă pentru un angajator (care poate fi persoană fizică sau juridică/companie), în schimbul unui salariu. Sa fie licit, deci sa fie conform cu legea si celelalte reguli de convietuire sociala;

Fiind un act juridic bilateral si consensual. Sa fie licit, deci sa fie conform cu legea si celelalte reguli de convietuire sociala; Lucrurile la 10 din codul muncii, potrivit carora contractul individual de munca este contractul in temeiul caruia o persoana fizic.

Contract De Comodat Model Doc 34m76w9ero46
vizitati articolul complet aici : https://idoc.pub/documents/contract-de-comodat-modeldoc-34m76w9ero46
Obiectul contractului individual de munca. In contractul individual de munca, care este un contract bilateral sinalagmatic, obiectul il constituie doua elemente inseparabile care se interconditioneaza, prestarea muncii de catre salariat si salarizarea ei de catre angajator. Dispoziţii finale prevederile prezentului contract individual de muncă se completează cu dispoziţiile legii nr.

Angajatul va presta activitatea de …….

Fiind un act juridic bilateral si consensual. Obiectul contractului individual de munca. Lucrurile la 10 din codul muncii, potrivit carora contractul individual de munca este contractul in temeiul caruia o persoana fizic.

Tipuri de contracte de munca. Mai jos vei găsi câteva informații esențiale despre acest contract, astfel încât. Contractul individual de munca este un contract cu titlu oneros si, de aceea, plata salariului constituie un element necesar al sau.

Referat Conditii Obligatorii De Validitate Ale Contractului Individual De Munca Drept 206864
vizitati articolul complet aici : https://biblioteca.regielive.ro/referate/drept/conditii-obligatorii-de-validitate-ale-contractului-individual-de-munca-206864.html
Ministerul muncii şi solidarităţii sociale. Identitatea partilor in raport cu angajatorul care a suportat cheltuielile ocazionate de formarea profesionala, se stabilesc prin acordul partilor şi fac obiectul unor acte aditionale la contractele individuale de munca. O persoană fizică, denumită salariat, se obligă să presteze munca pentru şi sub autoritatea unui angajator, persoană fizică/ juridică, în schimbul unei.

Din definitia contractului individual de munca reiese ca principalul obiect al contractului consta in prestarea muncii de catre salariat si plata acesteia de clauzele obligatorii din contractul individual de munca sunt:

O persoană fizică, denumită salariat, se obligă să presteze munca pentru şi sub autoritatea unui angajator, persoană fizică/ juridică, în schimbul unei. Contractul individual de muncă este acel contract prin care o persoană fizică se obligă să presteze un anumit tip de muncă pentru un angajator (care poate fi persoană fizică sau juridică/companie), în schimbul unui salariu. Modificare a contractului individual de muncă se consideră orice modificare sau completare care vizează cel puţin una dintre clauzele prevăzute atribuţiile de muncă ale salariatului sunt determinate în cea mai mare măsură de specialitatea, calificarea, funcţia care au fost sau au constituit obiectul.

Posting Komentar untuk "Obiectul Contractului De Munca"